Species Information


























































Common name:        NA

Scientific name:         Brachypodium hybridum

Chinese name:        杂交短柄草

Taxonomy

       Angiosperms/Monocotyledoneae/Gramineae/Brachypodium/Brachypodium hybridum

Overview

       Brachypodium hybridum is a small, allotetraploid annual grass that is part of a trio of Brachypodium species (B. stacei, B. distachyon and B. hybridum) being developed as a model for polyploid genome evolution and regulation. Interestingly, B. hybridum and B. stacei were originally thought to be polyploid forms of B. distachyon based on their 2n chromosome numbers (B. distachyon 2n=10, B. stacei 2n=20 and B. hybridum 2n=30) and superficial anatomical similarity. However, closer cytogenetic and genomic investigation revealed that B. stacei and B. distachyon were diploids with nearly identical genome sizes and that B. hybridum was an allotetraploid with subgenomes apparently derived from B. distachyon and B. stacei. B. hybridum and B. stacei were formally described as distinct species in 2012. These three species were chosen as a model for polyploidy because all three genomes are compact, all three species are experimentally tractable and it is clear that the subgenomes of B. hybridum came from B. distachyon and B. stacei or their very recent ancestors. Comparison of the B. hybridum genome with the genomes of B. stacei and the B. distachyon will provide an unprecedented opportunity to study the evolution of a polyploid genome and the effect of structural variation on gene expression and function.

Genomic information

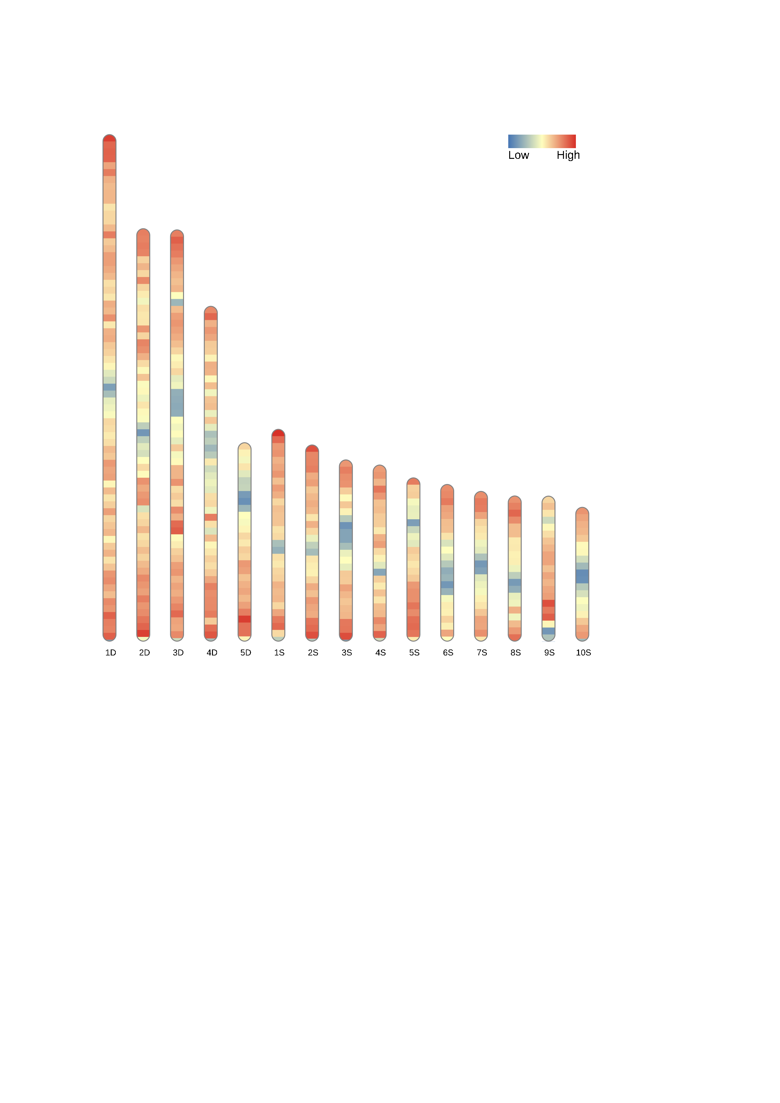
       Choromsome number : 2n=4X=30

       Protein coding genes : 80980

       Genes assembled on chromosomes : 80980

       Total genome size(Mb) : 503

       Mapped sequence size(Mb) : 500

       Number of scaffolds : 15

       Scaffold n50(Mb) : 1.12

Data sources

Date download

      genomic.cds:                     protein.faa:                     genomic.gff:

Gene density map